05 Hydrogeochemistry and Contaminant Transport

05-05 Conservative Solute Transport Processes

Physical mass-transport mechanisms: advection, mechanical dispersion, diffusion with storage, plug-flow and spreading processes; fundamental transport equations (without chemical reactions).

Contents

05-05-001Analytical solution for 1D continuous solute transport injection in porous media (without decay)

Type: Jupyter Notebook Time: 30–45 minutes
Analytical solution for 1D continuous solute transport injection in porous media (without decay)

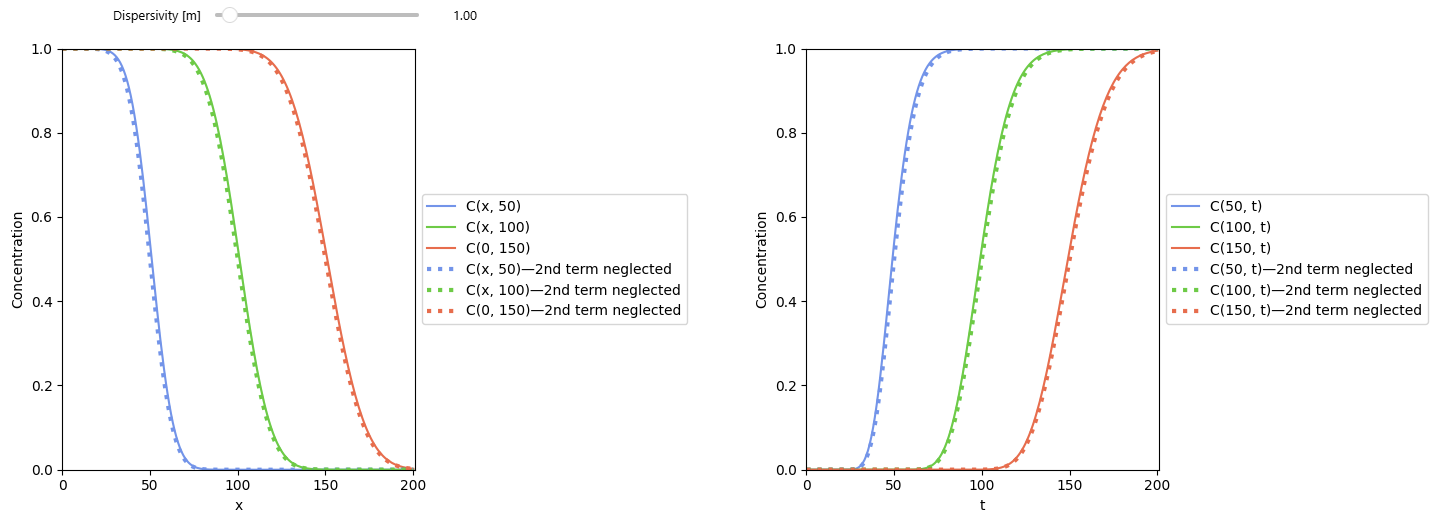
Figure 1: Evolution of the concentration in space and time with selected dispersivity values. (Screenshot)

This notebook presents the analytical 1-D solution for continuous solute transport in porous media without decay, following the classical formulation of Ogata & Banks (1961).

Using the hydrodynamic dispersion coefficient and the dimensionless Péclet number, it evaluates solute concentrations as a function of space and time under purely advective–dispersive transport. The core equation includes two terms, one representing forward transport and the other accounting for upstream dispersion.

The notebook explores when the second term becomes negligible depending on dispersivity, providing insight into advection-dominated versus dispersion-dominated regimes.

Interactive widgets allow users to dynamically adjust parameters such as dispersivity, initial concentration, time, and the groundwater velocity to visualize their impact on concentration profiles. The notebook generates breakthrough curves and spatial concentration distributions, compares full and simplified analytical solutions, and examines contaminant arrival at an observation point. It serves as an intuitive tool for understanding fundamental 1-D transport processes in groundwater systems while reinforcing key concepts from classic hydrogeology literature.

LAUNCH RESOURCE

Detail Value
URL github.com · open repository
Author(s) Oriol Bertran (UPC); Daniel Fernàndez-Garcia (UPC)
Keywords analytical solutions, solute transport, continuous injection, 1D, no decay
Fit For self learning, online teaching, classroom teaching
Prerequisites None specified.

Images

Evolution of the concentration in space with selected parameter values.

Figure 2: Evolution of the concentration in space with selected parameter values. (Screenshot)


05-05-002Principle of Superposition

Type: Jupyter Notebook Time: 30–45 minutes
Principle of Superposition

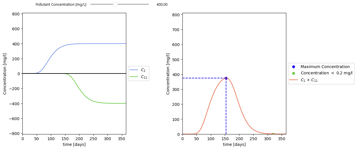
Figure 1: Pulse injection (Screenshot)

This notebook demonstrates the principle of superposition applied to one-dimensional solute transport in porous media. Since the advection–dispersion equation is linear in concentration, individual concentration contributions from different sources or release events can be added to obtain the total solution.

The notebook first defines the governing transport equation for continuous injection without decay, using the classical Ogata–Banks analytical solution. It then sets up helper functions for dispersion, the Péclet number, and concentration calculations, along with interactive widgets that allow the user to modify input parameters and visually explore how multiple releases combine.

Two practical examples illustrate how superposition works in groundwater contamination scenarios. In the first example, two overlapping continuous releases—one starting at time zero and another beginning later—are simulated independently and then added to obtain the combined breakthrough curve at an observation point.

In the second example, a pulse injection is represented by subtracting two continuous injections, showing how a short-duration spill can be reconstructed using linearity. Interactive plots reveal the timing, peak concentration, and dissipation behavior of each scenario, giving users an intuitive understanding of how linear transport processes respond to multiple or time-varying sources.

LAUNCH RESOURCE

Detail Value
URL github.com · open repository
Author(s) Oriol Bertran (UPC); Daniel Fernàndez-Garcia (UPC)
Keywords solute transport, principle of superposition
Fit For self learning, online teaching, classroom teaching
Prerequisites None specified.

Images

Continuous injection

Figure 2: Continuous injection (Screenshot)


05-05-0031D Transport with advection and dispersion

Type: Streamlit app Time: 15–30 minutes
1D Transport with advection and dispersion

Figure 1: The computed breakthrough curve for 1D advective-dispersive transport, together with (Screenshot)

This interactive app illustrates one-dimensional solute transport under steady groundwater flow, focusing on the combined effects of advection and longitudinal dispersion. A finite-duration pulse input is applied at the source, and the app computes and plots the resulting breakthrough curve (concentration versus time) at a user-defined observation distance.

Users can vary key transport parameters such as porosity and longitudinal dispersivity, and compare alternative representations by toggling between advection-only transport and the advection–dispersion solution. An optional set of example measurements can be displayed for visual comparison with the simulated breakthrough curve. The app supports conceptual understanding of plume spreading, travel times, and parameter sensitivity in 1D transport problems and is suited for teaching and self-study in hydrogeology and contaminant transport.

LAUNCH RESOURCE

Detail Value
URL transport-1d-ad.streamlit.a… · open app
Author(s) Thomas Reimann (TU Dresden); Rudolf Liedl (TU Dresden)
Keywords solute transport, advection, dispersion, analytical solution
Fit For self learning, online teaching, classroom teaching
Prerequisites Basic hydrogeology, Aquifer parameters

Streamlit app details

Detail Value
Interactive plots 1 interactive plot(s)

Co-funded by the European Union
This project is co-funded by the European Union. However, the views and opinions expressed are solely those of the author(s) and do not necessarily reflect those of the European Union or the National Agency DAAD. Neither the European Union nor the granting authority can be held responsible for them.